चारामा,दिनेश साहू
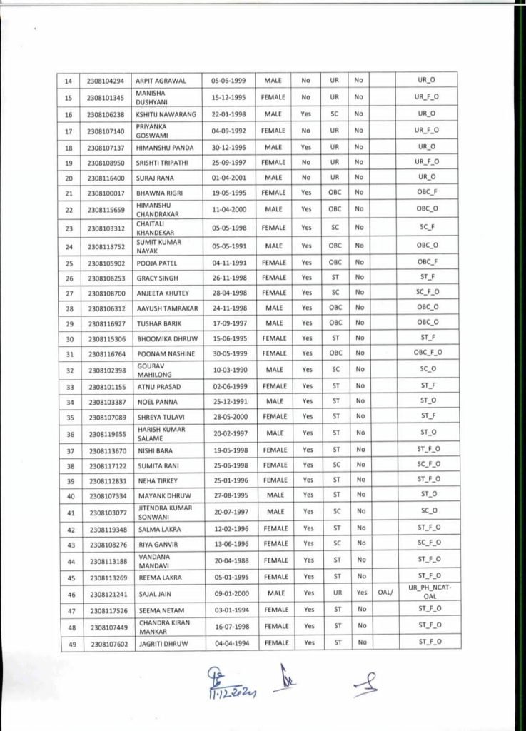
छत्तीसगढ़ शासन के विधि एवं विधायी विभाग के अंतर्गत व्यवहार न्यायाधीश प्रवेश परीक्षा 2023 के लिए कुल 49 पद विज्ञापित किए गए थे । विज्ञापित पदों पर व्यवहार न्यायाधीश के 49 पदों के लिए छत्तीसगढ़ लोक सेवा आयोग ने अंतिम परीक्षा परिणामो के बाद 11 दिसंबर को सूची जारी कर दी है । जिसमें टॉप 10 की सूची में 7 युवतियों ने भी अच्छा परिणाम देते हुए कब्जा जमाया है । प्राविण्य सूची में प्रथम स्थान पर श्वेता दीवान ने जगह बनाई है । वहीं द्वितीय स्थान पर महिमा शर्मा ने कब्जा किया है और तृतीय स्थान पर निखिल साहू ने अपना नाम दर्ज कराया है । कुल 49 व्यवहार न्यायाधीशो की सूची मे कांकेर जिले के ब्लॉक चारामा अंतर्गत छोटे से गांव बारगरी नवापारा के होनहार युवक सुमित कुमार नायक जो कि अन्य पिछड़ा वर्ग से आते हैं । उन्होनें भी इस सूची में 24 वें स्थान पर जगह बनाकर कांकेर जिले के साथ साथ समूचे छत्तीसगढ़ का नाम रौशन करते हुए अपने उस छोटे से गांव को भी गौरान्वित किया है । व्यवहार न्यायाधीश के पद पर नियुक्ति के बाद से उनके परिवार के सदस्यों,ग्रामीणों के साथ पुरे अंचल में खुशी का वातावरण बना हुआ है । उनकी नियुक्ति व सूची में नाम शामिल होने की सूचना मिलते ही उनके मित्र एवं रिश्तेदार लगातार उनके उज्जवल भविष्य के लिए शुभकामनाएं दे रहे हैं ।
